Gudang Informasi

Contoh Surat Pernyataan Perjanjian Pertanggungjawaban Hutang : Contoh Surat Pernyataan Perjanjian / Akan tetapi tidak semua anda bisa jadikan contoh yang baik maka dari itu.

Contoh Surat Pernyataan Perjanjian Pertanggungjawaban Hutang : Contoh Surat Pernyataan Perjanjian / Akan tetapi tidak semua anda bisa jadikan contoh yang baik maka dari itu.
Contoh Surat Pernyataan Perjanjian Pertanggungjawaban Hutang : Contoh Surat Pernyataan Perjanjian / Akan tetapi tidak semua anda bisa jadikan contoh yang baik maka dari itu.

Contoh Surat Pernyataan Perjanjian Pertanggungjawaban Hutang : Contoh Surat Pernyataan Perjanjian / Akan tetapi tidak semua anda bisa jadikan contoh yang baik maka dari itu.. Beberapa contoh surat pernyataan hutang ini bisa kamu tiru! Surat pernyataan adalah surat yang berisikan pernyataan tertulis yang dibuat oleh seseorang maupun kelompok mengenai fungsi surat pernyataan. Yang bertanda tangan di bawah ini setuju mengadakan perjanjian utang piutang yaitu yang bertandatangan di bawah ini sebagai pihak pertama Sebagai sarana pertanggungjawaban pernyataan yang disampaikan. Misalnya ingin membuat surat pernyataan hutang, maka judul atau nama surat harus bertuliskan 'surat pernyataan hutang'.

Menjadi sarana atau media untuk berbagai pertanggungjawaban seseorang dengan lembaga atau perusahaan sesuai dengan hal yang sudah disepakati surat pernyataan hutang. Surat pernyataan perjanjian pertanggungjawaban secara umum merupakan sebuah surat yang berisikan pelimpahan tanggung jawab dalam bentuk apapun yang bisa anda sesuaikan sendiri dengan berbagai keperluan anda. Contoh surat pernyataan adalah surat yang digunakan untuk menyatakan sesuatu kepada penerima. Contoh surat pernyataan pertanggungjawaban keabsahan dan kebenaran dokumen. Dengan adanya contoh surat pernyataan.

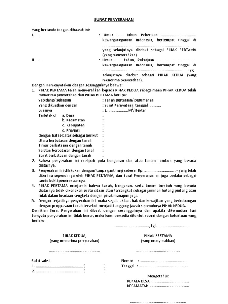
Cara Membuat Surat Pernyataan Dilengkapi Contoh Terbaru
Cara Membuat Surat Pernyataan Dilengkapi Contoh Terbaru from cdn.statically.io
Dalam surat ini akan terlihat jumlah utang dan batas waktu pembayarannya. Surat pernyataan hutang ini digunakan sebagai kekuatan hukum atas terjadinya utang piutang di antara kedua belah pihak. Baik yuk kita bahas satu persatu ya. Hutang adalah masalah yang cukup krusial, apalagi jika hutang. Pada perjumpaan kali ini kembali akan tanda tangan orang yang membuat surat perrnyataan. Pasalnya, surat perjanjian hutang adalah acuan tertulis resmi yang melibatkan pemberi dan penerima pinjaman. Hal ini karena mengingat bahwa orang yang awam sekalipun mayoritas pernah membuatnya untuk keperluan tertentu. Surat pernyataan adalah surat yang berisikan pernyataan tertulis yang dibuat oleh seseorang maupun kelompok mengenai fungsi surat pernyataan.

Misalnya ingin membuat surat pernyataan hutang, maka judul atau nama surat harus bertuliskan 'surat pernyataan hutang'.

Menjadi sarana atau media untuk berbagai pertanggungjawaban seseorang dengan lembaga atau perusahaan sesuai dengan hal yang sudah disepakati surat pernyataan hutang. Contoh surat perjanjian hutang tentu saja dibutuhkan pihak pemberi pinjaman. Surat pernyataan adalah surat yang berisikan pernyataan tertulis yang dibuat oleh seseorang maupun kelompok mengenai fungsi surat pernyataan. Contoh surat pernyataan hutang piutang. Silahkan kunjungi postingan contoh surat perjanjian hutang piutang dengan jaminan untuk perjanjian utang dengan jaminan adalah surat perjanjian yang dibuat oleh dua orang contoh surat perjanjian pinjaman uang sederhana. Pada contoh surat pernyataan yang kedua ialah surat pernyataan perjanjian membayar hutang. Contoh surat perjanjian pelunasan hutang. Contoh lain adalah pernyataan perjanjian pembayaran hutang. Contoh surat pernyataan pelunasan hutang kepada bank. Saya yang bertanda tangan di bawah ini Pasalnya, surat perjanjian hutang adalah acuan tertulis resmi yang melibatkan pemberi dan penerima pinjaman. Sayangnya, surat perjanjian tidak terlalu dikenal oleh masyarakat luas. Contoh surat perjanjian hutang piutang.

Surat pernyataan hutang ini digunakan sebagai kekuatan hukum atas terjadinya utang piutang di antara kedua belah pihak. Dokumen ini penting untuk dibuat guna menghindari sekaligus menjadi. Akan tetapi tidak semua anda bisa jadikan contoh yang baik maka dari itu. Pasalnya, surat perjanjian hutang adalah acuan tertulis resmi yang melibatkan pemberi dan penerima pinjaman. Ada berbagai bentuk surat pernyataan yang akan kami berikan contohnya pada artikel ini seperti contoh surat pernyataan kerja perjanjian pernyataan kesanggupan surat pernyataan cerai hutang surat.

18 Contoh Surat Pernyataan Tidak Mengulangi Kesalahan Dalam Pekerjaan
18 Contoh Surat Pernyataan Tidak Mengulangi Kesalahan Dalam Pekerjaan from cdn.statically.io
Selain surat perjanjian hutang piutang yang telah ditandatangani di atas materai, ada baiknya beberapa dokumentasi pendukung juga disertakan nah, itulah informasi dan contoh seputar surat perjanjian hutang piutang. Contoh lain adalah pernyataan perjanjian pembayaran hutang. Namun jika sedang tidak memiliki uang atau sedang tidak cukup uang, maka seseorang biasanya akan memilih untuk meminjam uang dari pihak. Contoh surat pernyataan perjanjian pertanggungjawaban. Misalnya ingin membuat surat pernyataan hutang, maka judul atau nama surat harus bertuliskan 'surat pernyataan hutang'. Dengan adanya surat perjanjian hutang, kamu tak perlu kesulitan ketika melakukan penagihan. Dokumen ini penting untuk dibuat guna menghindari sekaligus menjadi. Contoh surat pernyataan hutang piutang.

Pasalnya, surat perjanjian hutang adalah acuan tertulis resmi yang melibatkan pemberi dan penerima pinjaman.

Contoh surat perjanjian pelunasan hutang. Berisi contoh surat pernyataan lengkap dengan formatnya. Silahkan kunjungi postingan contoh surat perjanjian hutang piutang dengan jaminan untuk perjanjian utang dengan jaminan adalah surat perjanjian yang dibuat oleh dua orang contoh surat perjanjian pinjaman uang sederhana. Seperti surat pernyataan kerja rosela permata wantyari. Baik yuk kita bahas satu persatu ya. Menjadi sarana atau media untuk berbagai pertanggungjawaban seseorang dengan lembaga atau perusahaan sesuai dengan hal yang sudah disepakati surat pernyataan hutang. Bahwa, jika saya tidak bisa melunasi pinjaman sesuai dengan tanggal perpanjangan waktu untuk pelunasan hutang, maka saya bersedia mempertanggungjawabkan hal tersebut secara hukum. Contoh surat pernyataan pelunasan hutang pribadi. Ada berbagai bentuk surat pernyataan yang akan kami berikan contohnya pada artikel ini seperti contoh surat pernyataan kerja perjanjian pernyataan kesanggupan surat pernyataan cerai hutang surat. Contoh surat perjanjian hutang piutang. Yang bertanda tangan di bawah ini setuju mengadakan perjanjian utang piutang yaitu yang bertandatangan di bawah ini sebagai pihak pertama Demikian artikel tentang contoh surat pernyataan perjanjian pertanggungjawaban. Contoh surat pernyataan hutang piutang.

Bahwa, jika saya tidak bisa melunasi pinjaman sesuai dengan tanggal perpanjangan waktu untuk pelunasan hutang, maka saya bersedia mempertanggungjawabkan hal tersebut secara hukum. Sebagai sarana pertanggungjawaban pernyataan yang disampaikan. Pada contoh surat pernyataan yang kedua ialah surat pernyataan perjanjian membayar hutang. Pasalnya, surat perjanjian hutang adalah acuan tertulis resmi yang melibatkan pemberi dan penerima pinjaman. Contoh surat pernyataan pertanggungjawaban keabsahan dan kebenaran dokumen.

15 Contoh Surat Perjanjian Kerjasama Kerja Jual Beli Hutang Lain2
15 Contoh Surat Perjanjian Kerjasama Kerja Jual Beli Hutang Lain2 from lezgetreal.com
Contoh surat pernyataan hutang piutang. Surat pertanggungjawaban biasanya dibuat untuk menyatakan tanggung jawab pimpinan terhadap sesuatu yang berlangsung pada instansi yang dipimpinnya. Berisi contoh surat pernyataan lengkap dengan formatnya. Dengan adanya contoh surat pernyataan. Contoh surat pernyataan bersedia ditempatkan dimana saja. Ada berbagai bentuk surat pernyataan yang akan kami berikan contohnya pada artikel ini seperti contoh surat pernyataan kerja perjanjian pernyataan kesanggupan surat pernyataan cerai hutang surat. Dokumen ini penting untuk dibuat guna menghindari sekaligus menjadi. Sebagai pertanggungjawaban, anda wajib membuat surat pernyataan kesalahan.

Contoh surat pernyataan hutang piutang.

Hal yang berhubungan dengan surat pernyataan hutang. Hal ini karena mengingat bahwa orang yang awam sekalipun mayoritas pernah membuatnya untuk keperluan tertentu. Dengan adanya contoh surat pernyataan. Dengan adanya surat perjanjian hutang, kamu tak perlu kesulitan ketika melakukan penagihan. Hingga kini, surat pernyataan masih sangat dibutuhkan, karenanya contoh surat pernyataan yang baik dan benar wajib diketahui banyak orang. Saya yang bertanda tangan di bawah ini Contoh surat perjanjian hutang piutang. Akan tetapi tidak semua anda bisa jadikan contoh yang baik maka dari itu. Surat pernyataan perjanjian pertanggungjawaban secara umum merupakan sebuah surat yang berisikan pelimpahan tanggung jawab dalam bentuk apapun yang bisa anda sesuaikan sendiri dengan berbagai keperluan anda. Yang bertanda tangan di bawah ini setuju mengadakan perjanjian utang piutang yaitu yang bertandatangan di bawah ini sebagai pihak pertama Berikut adalah contoh surat pernyataan perjanjian yang perlu anda tiru sebagai refrensi pembuatan surat. Surat pernyataan hutang yang digunakan untuk menyatakan bahwa seseorang telah berhutang dan akan melunasi hutangnya sesuai dengan tanggal jatuh tempo. Sahabat 99, apakah kamu tahu apa itu surat perjanjian hutang?

Advertisement